أهم الإستنتاجات
- تراجع نسبي في التزويد بالنسبة لأغلب أصناف الخضر مقرون بارتفاع نسبي في الأسعار.
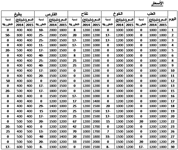
- زيادة في التزويد بالنسبة للقارص (+31%) والخوخ (+37%) والبطيخ (+26%).
- انخفاض نسبي في الأسعار بالنسبة لأغلب أصناف الغلال ماعدى التفاح (+17%) والعنب (+1%).
- تراجع في العرض بالنسبة لجل أصناف منتجات الأسماك وغلال البحر انجرعنها انخفاض في الأسعار.
معدل التطور الجملي للتزويد والأسعار لأهم المواد الأساسية بالنسبة لشهر سبتمبر (2014-2015)

أهم المؤشرات
الخضر
التزويد
تميز شهر سبتمبر لسنة 2015 بـ
البطاطا: تراجع في التزويد مقارنة بنفس الفترة من سنة 2014 ويقدر مؤشر الكميات بـ 67.
الطماطم : تراجع نسبي في التزويد مقارنة بنفس الفترة من سنة 2014 ويقدر مؤشر الكميات بـ 94.
الفلفل الحار: استقرار في التزويد مقارنة بنفس الفترة من سنة 2014 ويقدر مؤشر الكميات بـ99.
البصل:تراجع نسبيفي التزويد مقارنة بنفس الفترة من سنة 2014 ويقدر مؤشر الكميات بـ 88.
الأسعار
تميز شهر سبتمبر لسنة 2015 بـ
البطاطا: ارتفاع نسبي في الأسعار مقارنة بنفس الفترة من سنة 2014 ويقدر مؤشرالأسعار بـ119.
الطماطم: ارتفاع نسبي في الأسعار مقارنة بنفس الفترة لسنة 2014 ويقدر مؤشر الأسعار بـ110.
الفلفل الحار: انخفاض نسبي في الأسعار مقارنة بنفس الفترة من سنة 2014 ويقدر مؤشرالأسعار بـ95.
البصل : ارتفاع نسبي في الأسعار مقارنة بنفس الفترة من سنة 2014 ويقدر مؤشرالأسعار بـ105.
الغلال
تميز شهر سبتمبر لسنة 2015 بـ
التزويد
العنب : تراجع نسبي في التزويد مقارنة بنفس الفترة من سنة 2014 ويقدر مؤشر الكميات بـ 88.
الخوخ : زيادة في التزويد مقارنة بنفس الفترة من سنة 2014 ويقدر مؤشر الكميات بـ 137.
التفاح: تراجع في التزويد مقارنة بنفس الفترة من سنة 2014 ويقدر مؤشر الكميات بـ 70.
القارص: زيادة في التزويد مقارنة بنفس الفترة من سنة 2014 ويقدر مؤشر الكميات بـ 131.
الأسعار
العنب : استقرار في الأسعار مقارنة بنفس الفترة من سنة 2014.
الخوخ: انخفاض نسبي في الأسعار مقارنة بنفس الفترة لسنة 2014 ويقدر مؤشرالأسعار بـ 97.
التفاح: ارتفاع نسبي في الأسعار مقارنة بنفس الفترة لسنة 2014 ويقدر مؤشرالأسعار بـ1 17.
القارص: انخفاض نسبي في الأسعار مقارنة بنفس الفترة من سنة 2014 ويقدر مؤشرالأسعار بـ87.
البطيخ : انخفاض نسبي في الأسعار مقارنة بنفس الفترة من سنة 2014 ويقدر مؤشرالأسعار بـ 95.
الأسماك
تميز شهر سبتمبر لسنة 2015 بـ
التزويد
السردينة :تراجع نسبي في التزويد مقارنة بنفس الفترة من سنة 2014 ويقدر مؤشر الكميات بـ 90.
الشورو : تراجع نسبي في التزويد مقارنة بنفس الفترة من سنة 2014 ويقدر مؤشر الكميات بـ 71.
التريلية البيضاء: زيادة نسبية في التزويد مقارنة بنفس الفترة من سنة 2014 ويقدر مؤشر الكميات بـ117.
الأسعار
السردينة : انخفاض في الأسعار مقارنة بنفس الفترة من سنة 2014 ويقدر مؤشرالأسعار بـ 67.
الشورو: انخفاض في الأسعار مقارنة بنفس الفترة لسنة 2014 ويقدر مؤشرالأسعار بـ 56.
التريلية البيضاء:انخفاض نسبي في الأسعار مقارنة بنفس الفترة من سنة 2014 ويقدر مؤشرالأسعار بـ 75.
رسوم بيانية لتطور التزويد و الأسعار لأهم المنتوجات






جداول إحصائية
المعطيات الإحصائية – الخضر (شهر سبتمبر)
2014-2015


المعطيات الإحصائية – الغلال (شهر سبتمبر)
2014-2015


المعطيات الإحصائية – الأسماك (شهر سبتمبر)
2014-2015

