TUNISIA REPUBLIC | MINISTRY OF AGRICULTURE, HYDRAULIC RESOURCES AND FISHING

TUNISIA REPUBLIC

أهم الاستنتاجات

- تراجع نسبي في التزويد بالنسبة للبطاطا (-22%) مقابل ارتفاع نسبي بالنسبة للطماطم  (+14%).

- انخفاض نسبي في الأسعار بالنسبة لأغلب أصناف الخضر ما عدى الفلفل الحار (+2%).

- تراجع في التزويد بالنسبة لأغلب أصناف الغلال ما عدى القارص (+22%) والبطيخ (+14%).

- استقرار نسبي في الأسعار بالنسبة لأغلب أصناف الغلال.

- تراجع في العرض بالنسبة لأغلب أصناف الأسماك.

- انخفاض في الأسعار بالنسبة للشورو والتريلية البيضاء.

معدل التطور الجملي للتزويد والأسعار لأهم المواد الأساسية بالنسبة لشهر سبتمبر (2015-2016)

أهم المؤشرات

الخضر

التزويد:

تميز شهر سبتمبر لسنة 2016 بـ

البطاطا :تراجع في التزويد مقارنة بنفس الفترة من سنة 2015 ويقدر مؤشر الكميات بـ  78

الطماطم: زيادة نسبية في التزويد مقارنة بنفس الفترة من سنة 2015 ويقدر مؤشر الكميات بـ 114

الفلفل الحار: استقرار نسبي في التزويد مقارنة بنفس الفترة من سنة 2015 ويقدر مؤشر الكميات بـ  102

البصل: استقرار نسبي في التزويد مقارنة بنفس الفترة من سنة 2015 ويقدر مؤشر الكميات بـ 98.

الأسعار:                                  

تميز شهر سبتمبر لسنة 2016 بـ

البطاطا : انخفاض نسبي في الأسعار مقارنة بنفس الفترة من سنة 2015 ويقدر مؤشرالأسعار بـ93

الطماطم: انخفاض نسبي في الأسعار مقارنة بنفس الفترة لسنة 2015 ويقدر مؤشر الأسعار بـ93

الفلفل الحار: استقرار نسبي في الأسعار مقارنة بنفس الفترة من سنة 2015 ويقدر مؤشرالأسعار بـ102

البصل: انخفاض نسبي في الأسعار مقارنة بنفس الفترة من سنة 2015 ويقدر مؤشرالأسعار بـ62.


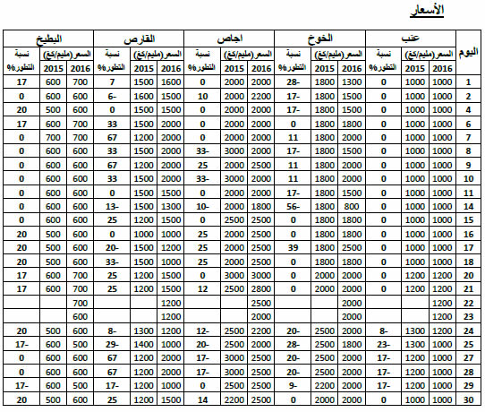
الغلال

تميز شهر سبتمبر لسنة 2016 بـ

التزويد:

العنب: تراجع في التزويد مقارنة بنفس الفترة من سنة 2015 ويقدر مؤشر الكميات بـ 70.

الخوخ: تراجع نسبي في التزويد مقارنة بنفس الفترة من سنة 2015 ويقدر مؤشر الكميات بـ  77

إجاص: تراجع هام في التزويد مقارنة بنفس الفترة من سنة 2015 ويقدر مؤشر الكميات بـ34.

القارص: زيادة نسبية في التزويد مقارنة بنفس الفترة من سنة 2015 ويقدر مؤشر الكميات بـ122.

البطيخ: زيادة نسبية في التزويد مقارنة بنفس الفترة من سنة 2015 ويقدر مؤشر الكميات بـ114.

الأسعار:

العنب : انخفاض نسبي في الأسعار مقارنة بنفس الفترة من سنة 2015 ويقدر مؤشرالأسعار بـ97.  

الخوخ : انخفاض نسبي في الأسعار مقارنة بنفس الفترة لسنة 2015 ويقدر مؤشرالأسعار بـ93

إجاص : استقرار في الأسعار مقارنة بنفس الفترة لسنة 2015 ويقدر مؤشر الأسعار   بـ99.  

القارص: ارتفاع نسبي في الأسعار مقارنة بنفس الفترة من سنة 2015 ويقدر مؤشرالأسعار بـ109.

البطيخ : ارتفاع نسبي في الأسعار مقارنة بنفس الفترة من سنة 2015 ويقدر مؤشرالأسعار بـ107.


الأسماك

تميز شهر سبتمبر لسنة 2016 بـ

التزويد:

السردينة :تراجع في التزويد مقارنة بنفس الفترة من سنة 2015 ويقدر مؤشر الكميات بـ 60.

الشورو : تراجع في التزويد مقارنة بنفس الفترة من سنة 2015 ويقدر مؤشر الكميات بـ60

التريلية البيضاء: تراجع نسبي في التزويد مقارنة بنفس الفترة من سنة 2015 ويقدر مؤشر الكميات بـ82.

الأسعار:

السردينة : ارتفاع نسبي في الأسعار مقارنة بنفس الفترة من سنة 2015 ويقدر مؤشرالأسعار بـ107.  

الشورو: انخفاض نسبي في الأسعار مقارنة بنفس الفترة لسنة 2015 ويقدر مؤشر الأسعار بـ92.  

التريلية البيضاء:انخفاض نسبي في الأسعار مقارنة بنفس الفترة من سنة 2015 ويقدر مؤشرالأسعار بـ71.  

     رسوم بيانية لتطور التزويد والأسعار لأهم المنتوجات

----------------------------------------------------------------------------------------------------------------

----------------------------------------------------------------------------------------------------------------

جداول إحصائية

----------------------------------------------------------------------------------------------------------------

----------------------------------------------------------------------------------------------------------------